0%

海伦公式的证明(勾股定理)

用勾股定理证明海伦公式

使用Pandoc,渲染较慢,如果看到未渲染的页面,请稍等一下

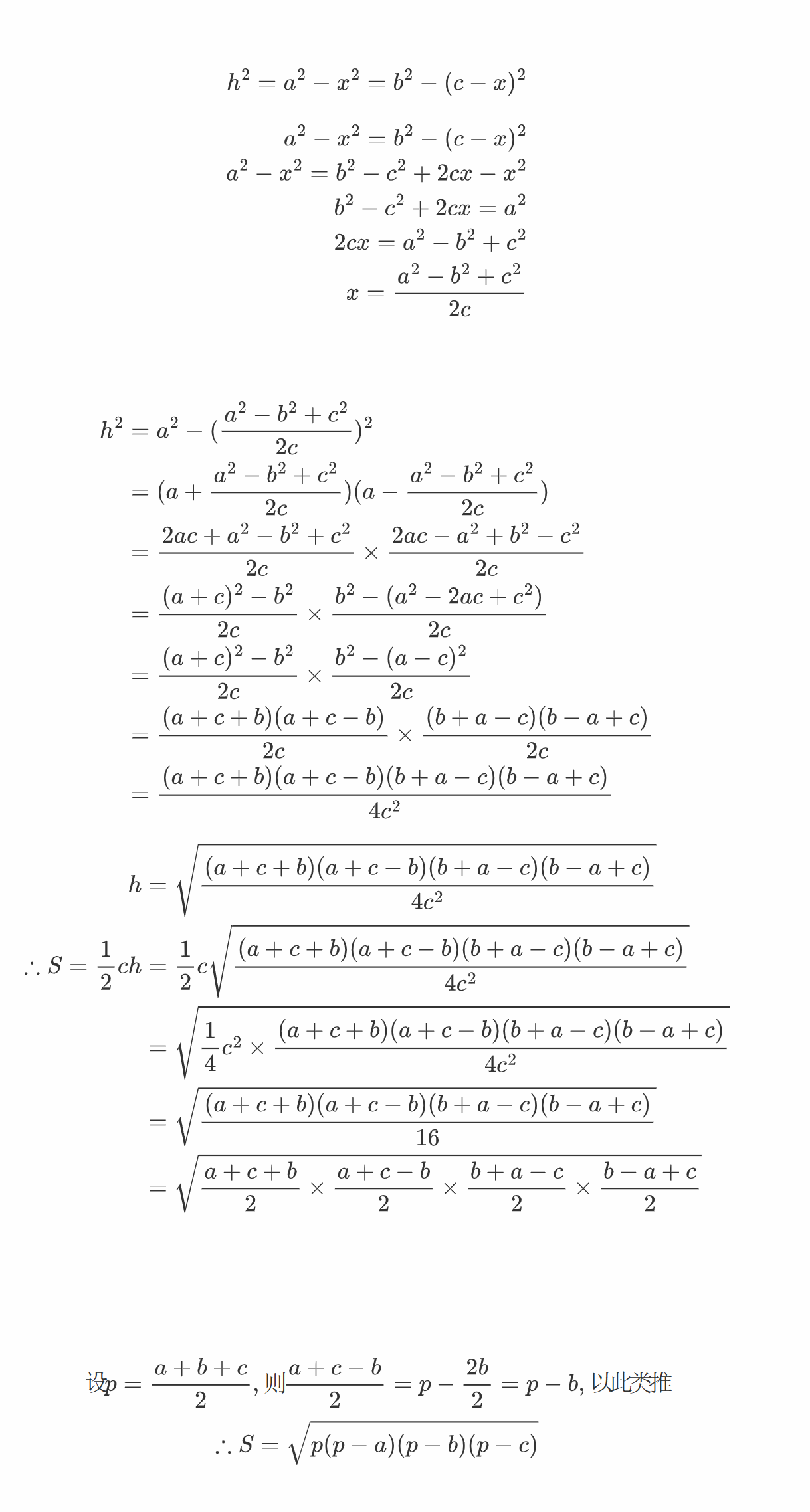
如图: $$ \begin{aligned} h^2=a^2-x^2&=b^2-(c-x)^2\\ a^2-x^2&=b^2-(c-x)^2\\ a^2-x^2&=b^2-(c^2-2cx+x^2)\\ a^2-x^2&=b^2-c^2+2cx-x^2\\ a^2&=b^2-c^2+2cx\\ 2cx&=a^2-b^2+c^2\\ x&=\frac{a^2-b^2+c^2}{2c}\\ \end{aligned} $$

$$ \begin{aligned} h^2 &=a^2-x^2 \\ &=a^2-(\frac{a^2-b^2+c^2}{2c})^2\\ &=(a+\frac{a^2-b^2+c^2}{2c})(a-\frac{a^2-b^2+c^2}{2c})\\ &=\frac{2ac+a^2-b^2+c^2}{2c}\times\frac{2ac-a^2+b^2-c^2}{2c}\\ &=\frac{(a+c)^2-b^2}{2c}\times\frac{b^2-(a^2-2ac+c^2)}{2c}\\ &=\frac{(a+c)^2-b^2}{2c}\times\frac{b^2-(a-c)^2}{2c}\\ &=\frac{(a+c+b)(a+c-b)}{2c}\times\frac{(b+a-c)(b-a+c)}{2c}\\ &=\frac{(a+c+b)(a+c-b)(b+a-c)(b-a+c)}{4c^2} \end{aligned} $$

$$ \begin{aligned} h&=\sqrt{\frac{(a+c+b)(a+c-b)(b+a-c)(b-a+c)}{4c^2}}\\ \therefore S=\frac{1}{2}ch&=\frac{1}{2}c\sqrt{\frac{(a+c+b)(a+c-b)(b+a-c)(b-a+c)}{4c^2}}\\ &=\sqrt{\frac{1}{4}c^2\times\frac{(a+c+b)(a+c-b)(b+a-c)(b-a+c)}{4c^2}}\\ &=\sqrt{\frac{(a+c+b)(a+c-b)(b+a-c)(b-a+c)}{16}}\\ &=\sqrt{\frac{a+c+b}{2}\times\frac{a+c-b}{2}\times\frac{b+a-c}{2}\times\frac{b-a+c}{2}}\\ &=\sqrt{\frac{a+b+c}{2}\times\frac{a-b+c}{2}\times\frac{a+b-c}{2}\times\frac{b-a+c}{2}}\\ \end{aligned} $$ $$\text{设}p=\frac{a+b+c}{2},则\frac{a-b+c}{2}=p-\frac{2b}{2}=p-b$$

$$以此类推 \frac{a+b-c}{2}=p-c \frac{b-a+c}{2}=p-a$$

$$\therefore S=\sqrt{p(p-a)(p-b)(p-c)}$$